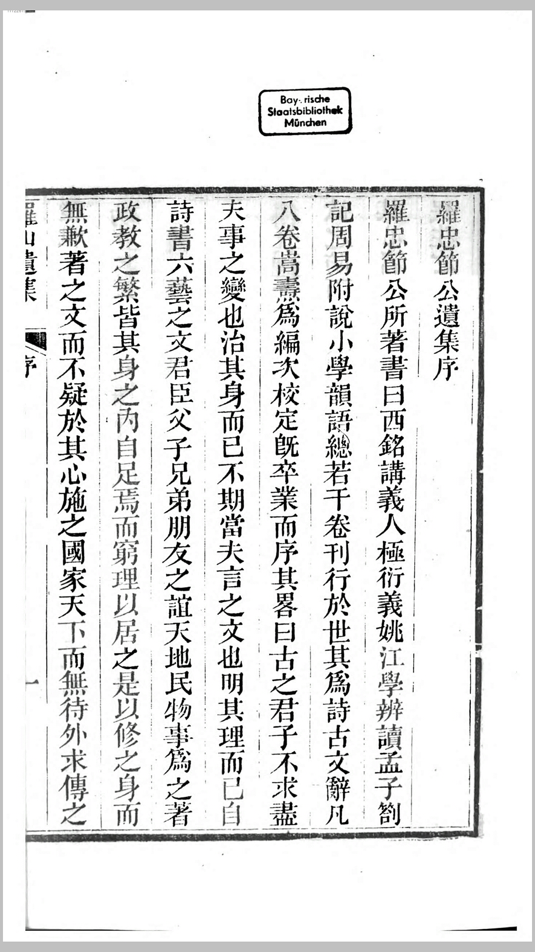
罗忠节公所著书日:《西铭讲义》、《人极衍义》、《姚江学辨》、《读孟子札记》、《周易附说》、《小学韵语》
罗泽南(1807一1856),字仲岳,号罗山,又号悔泉,湖南湘乡人。咸丰二年(1852),太平军围攻长沙,罗泽南在当地举办团练,号称“湘勇”,他们和新招募的新化勇约三千余人由曾国藩训练,这支队伍便是日后湘军的基础。在此后的四年间,罗泽南带着这支队伍转战湖南、湖北、江西等省,历经一百余战,克城二十多座,成为名噪一时的湘军将领。




罗忠节公遗集.清.罗泽南撰.清咸丰同治间刊本
罗忠节公遗集.清.罗泽南撰.清咸丰同治间刊本
服务说明:
(1)、资源来源于网络公开发表文件,所有资料仅供学习交流;
(2)、学分仅用来维持网站运营,性质为用户友情赞助,并非购买文件费用(1元=1学分);
(3)、如遇百度网盘分享链接失效,可以提交工单或者联系网站客服微信:qianmeng0663处理;
(4)、不用担心不给资料,如果没有及时回复也不用担心,看到了都会发给您的!放心!
温馨提示:部分玄学、武术、医学等资料非专业人士请勿模仿学习,仅供参考!
以上内容由网站用户发布,如有侵权,请联系我们立即删除!联系微信:qianmeng0663
(1)、资源来源于网络公开发表文件,所有资料仅供学习交流;
(2)、学分仅用来维持网站运营,性质为用户友情赞助,并非购买文件费用(1元=1学分);
(3)、如遇百度网盘分享链接失效,可以提交工单或者联系网站客服微信:qianmeng0663处理;
(4)、不用担心不给资料,如果没有及时回复也不用担心,看到了都会发给您的!放心!
温馨提示:部分玄学、武术、医学等资料非专业人士请勿模仿学习,仅供参考!
以上内容由网站用户发布,如有侵权,请联系我们立即删除!联系微信:qianmeng0663
