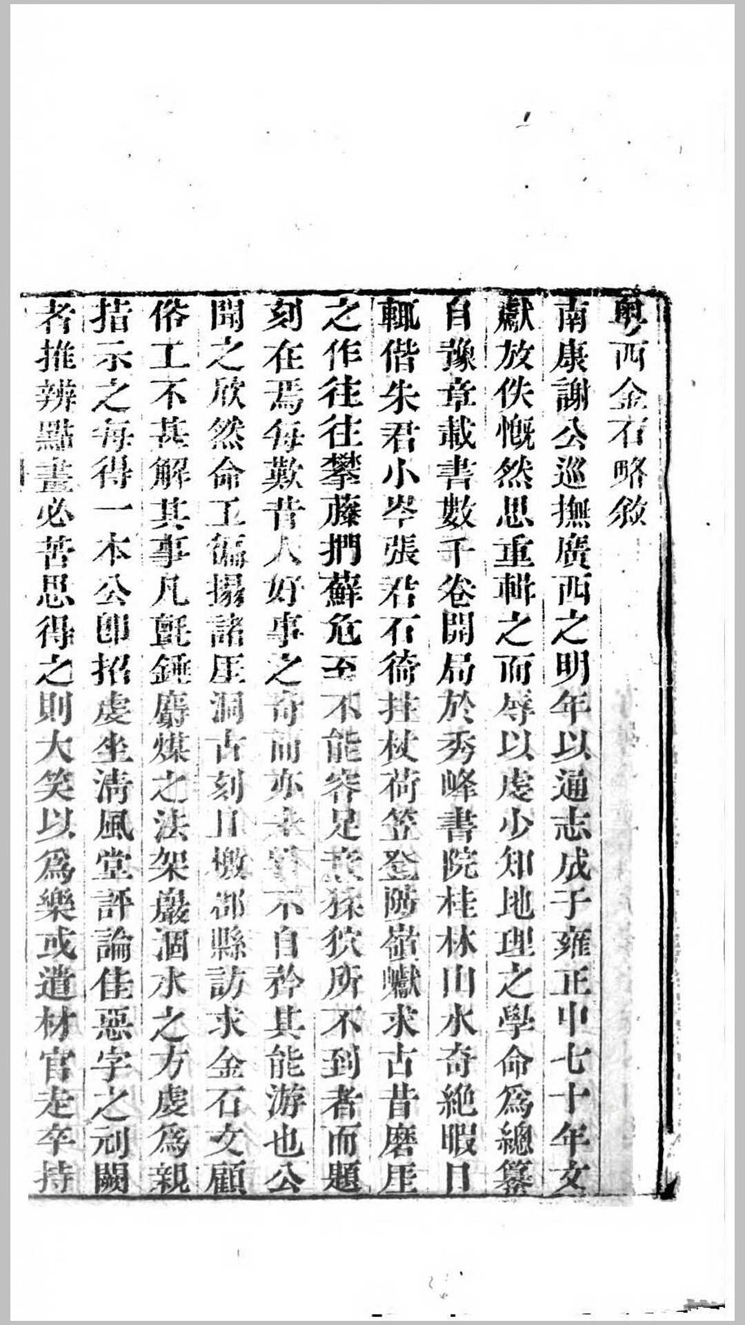
《粤西金石略》是清嘉庆五至六年(1800-1801年)广西巡抚谢启昆在桂林学者朱依真,安徽桐城学者胡虔、石元辂的协助下完成的一部地方金石文献著作,著录了晋至元代八桂金石文献。全书共15卷,其中约前1.5卷著录晋至五代文献,后二卷为元代文献及《铜鼓考》和《待访目录》,宋代部分占11.5卷,是全书之重点。这些文献皆为重要的历史记忆,其涵盖广泛,其中即有关于八桂英才的文化活动记录。




粤西金石略.清.谢启昆撰.清嘉庆6年铜鼓亭刊本
粤西金石略.清.谢启昆撰.清嘉庆6年铜鼓亭刊本
提取码:YA9E
服务说明:
(1)、资源来源于网络公开发表文件,所有资料仅供学习交流;
(2)、学分仅用来维持网站运营,性质为用户友情赞助,并非购买文件费用(1元=1学分);
(3)、如遇百度网盘分享链接失效,可以提交工单或者联系网站客服微信:qianmeng0663处理;
(4)、不用担心不给资料,如果没有及时回复也不用担心,看到了都会发给您的!放心!
温馨提示:部分玄学、武术、医学等资料非专业人士请勿模仿学习,仅供参考!
以上内容由网站用户发布,如有侵权,请联系我们立即删除!联系微信:qianmeng0663
(1)、资源来源于网络公开发表文件,所有资料仅供学习交流;
(2)、学分仅用来维持网站运营,性质为用户友情赞助,并非购买文件费用(1元=1学分);
(3)、如遇百度网盘分享链接失效,可以提交工单或者联系网站客服微信:qianmeng0663处理;
(4)、不用担心不给资料,如果没有及时回复也不用担心,看到了都会发给您的!放心!
温馨提示:部分玄学、武术、医学等资料非专业人士请勿模仿学习,仅供参考!
以上内容由网站用户发布,如有侵权,请联系我们立即删除!联系微信:qianmeng0663
