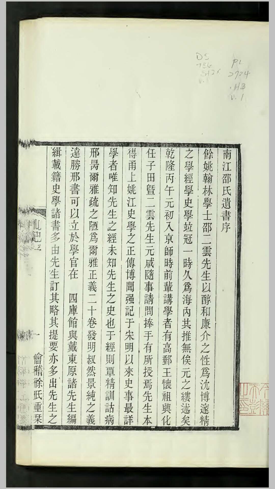
《南江札记》四卷。作者邵晋涵(1743~1796),字与桐,又字二云,号南江。浙江余姚人。乾隆三十六年进士。《四库全书》开馆,任纂修,史学诸书提要大都由他拟稿。著有《尔雅正义》及《旧五代史》辑本。晋涵卒后,其子秉华从遗书中辑录批注之语为《南江札记》。




服务说明:
(1)、资源来源于网络公开发表文件,所有资料仅供学习交流;
(2)、学分仅用来维持网站运营,性质为用户友情赞助,并非购买文件费用(1元=1学分);
(3)、如遇百度网盘分享链接失效,可以提交工单或者联系网站客服微信:qianmeng0663处理;
(4)、不用担心不给资料,如果没有及时回复也不用担心,看到了都会发给您的!放心!
温馨提示:部分玄学、武术、医学等资料非专业人士请勿模仿学习,仅供参考!
以上内容由网站用户发布,如有侵权,请联系我们立即删除!联系微信:qianmeng0663
(1)、资源来源于网络公开发表文件,所有资料仅供学习交流;
(2)、学分仅用来维持网站运营,性质为用户友情赞助,并非购买文件费用(1元=1学分);
(3)、如遇百度网盘分享链接失效,可以提交工单或者联系网站客服微信:qianmeng0663处理;
(4)、不用担心不给资料,如果没有及时回复也不用担心,看到了都会发给您的!放心!
温馨提示:部分玄学、武术、医学等资料非专业人士请勿模仿学习,仅供参考!
以上内容由网站用户发布,如有侵权,请联系我们立即删除!联系微信:qianmeng0663
