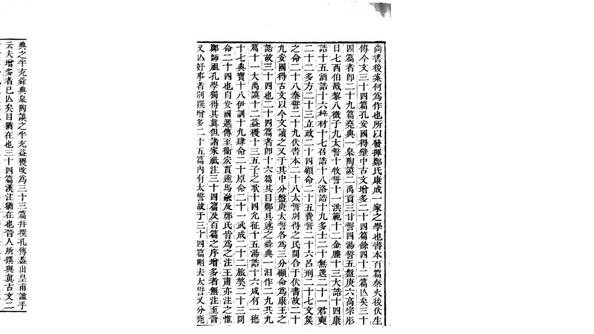
清王鸣盛(1722-1797)撰。鸣盛幼从沈德潜学《诗》,后又问经义于惠栋。长于汉学,对金石、目录之学也有研究,治经以尊崇马融、郑玄之学为宗旨,治史则敢于突破前人定论。本书草创于乾隆十年(1745),撰成于四十四年(1779),为王鸣盛治经之代表作,其宗旨在于发挥郑玄一家之学。认为马融、郑玄所注之《尚书》,实孔壁之真古文《尚书》。其方法是遍观群籍搜罗郑注,对其已残缺者则取马融、王肃传疏增补之,而唐宋诸儒之说一概不取,再加案语以释正义,马、王之传疏与郑相异者,则予以辨正。名曰“后案”为最后存案。其长在于搜罗群集,其短在于意泥马、郑而罕计其余,为后来孙星衍所指出。然其终不失为一部颇具价值的辨伪著作。




百度云下载:尚书后案.清.王鸣盛撰.清嘉庆5年颐志堂刊本
城通下载:尚书后案.清.王鸣盛撰.清嘉庆5年颐志堂刊本
服务说明:
(1)、资源来源于网络公开发表文件,所有资料仅供学习交流;
(2)、学分仅用来维持网站运营,性质为用户友情赞助,并非购买文件费用(1元=1学分);
(3)、如遇百度网盘分享链接失效,可以提交工单或者联系网站客服微信:qianmeng0663处理;
(4)、不用担心不给资料,如果没有及时回复也不用担心,看到了都会发给您的!放心!
温馨提示:部分玄学、武术、医学等资料非专业人士请勿模仿学习,仅供参考!
以上内容由网站用户发布,如有侵权,请联系我们立即删除!联系微信:qianmeng0663
(1)、资源来源于网络公开发表文件,所有资料仅供学习交流;
(2)、学分仅用来维持网站运营,性质为用户友情赞助,并非购买文件费用(1元=1学分);
(3)、如遇百度网盘分享链接失效,可以提交工单或者联系网站客服微信:qianmeng0663处理;
(4)、不用担心不给资料,如果没有及时回复也不用担心,看到了都会发给您的!放心!
温馨提示:部分玄学、武术、医学等资料非专业人士请勿模仿学习,仅供参考!
以上内容由网站用户发布,如有侵权,请联系我们立即删除!联系微信:qianmeng0663
