万恶淫为首,百善孝为先即出自此书
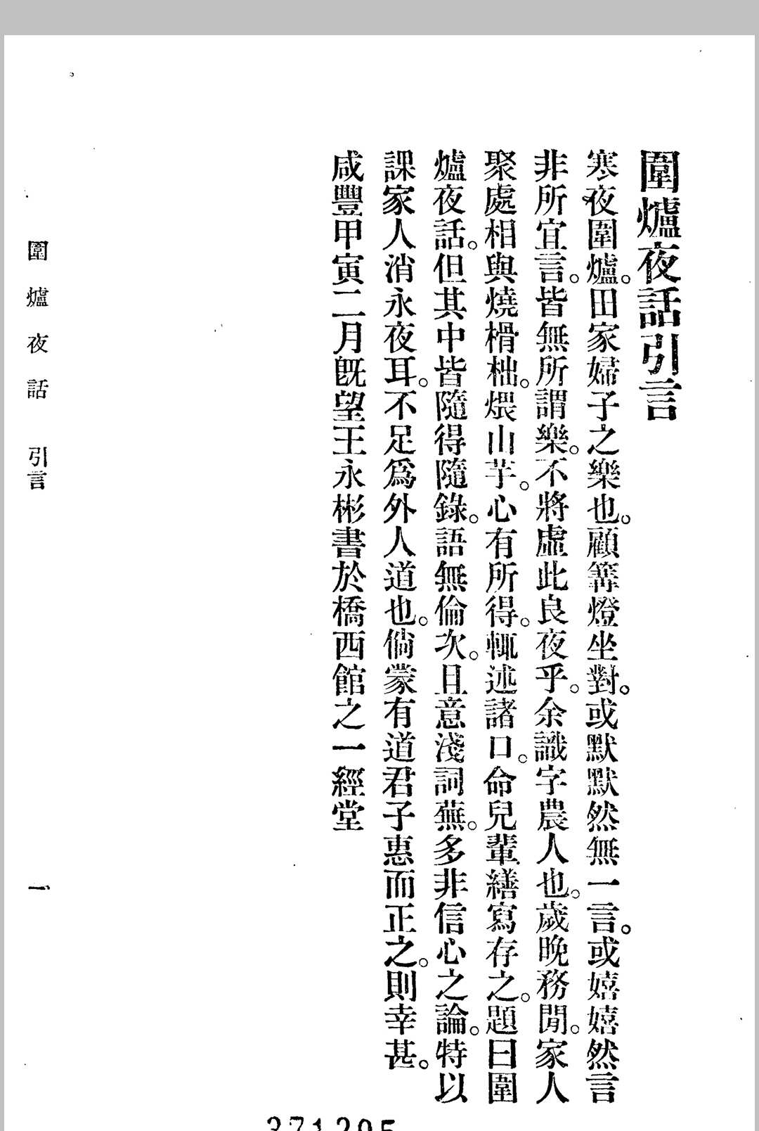
《围炉夜话》是晚清近代文学品评家王永彬著作的儒家通俗读物。《围炉夜话》书于桥西馆的“一经堂”,成书于清咸丰甲寅二月。
全书分为221个条目,以“安身立业”为总话题,分别从道德、修身、读书、教子、忠孝、勤俭等多个方面,揭示了“立德、立功、立言”皆以“立业”为本的深刻含义。全书以短小精辟,富有哲理见长,文辞浅近明晰,言语言简意赅,情真意切,意境深远。
《围炉夜话》与《菜根谭》、《小窗幽记》并称“立身三经”。作者虚拟了一个冬日拥着火炉,至交好友畅谈文艺人生的情境,使该书语言亲切、自然、易读,并由于其独到的见解在汉族文学史上占有重要地位。






服务说明:
(1)、资源来源于网络公开发表文件,所有资料仅供学习交流;
(2)、学分仅用来维持网站运营,性质为用户友情赞助,并非购买文件费用(1元=1学分);
(3)、如遇百度网盘分享链接失效,可以提交工单或者联系网站客服微信:qianmeng0663处理;
(4)、不用担心不给资料,如果没有及时回复也不用担心,看到了都会发给您的!放心!
温馨提示:部分玄学、武术、医学等资料非专业人士请勿模仿学习,仅供参考!
以上内容由网站用户发布,如有侵权,请联系我们立即删除!联系微信:qianmeng0663
(1)、资源来源于网络公开发表文件,所有资料仅供学习交流;
(2)、学分仅用来维持网站运营,性质为用户友情赞助,并非购买文件费用(1元=1学分);
(3)、如遇百度网盘分享链接失效,可以提交工单或者联系网站客服微信:qianmeng0663处理;
(4)、不用担心不给资料,如果没有及时回复也不用担心,看到了都会发给您的!放心!
温馨提示:部分玄学、武术、医学等资料非专业人士请勿模仿学习,仅供参考!
以上内容由网站用户发布,如有侵权,请联系我们立即删除!联系微信:qianmeng0663
