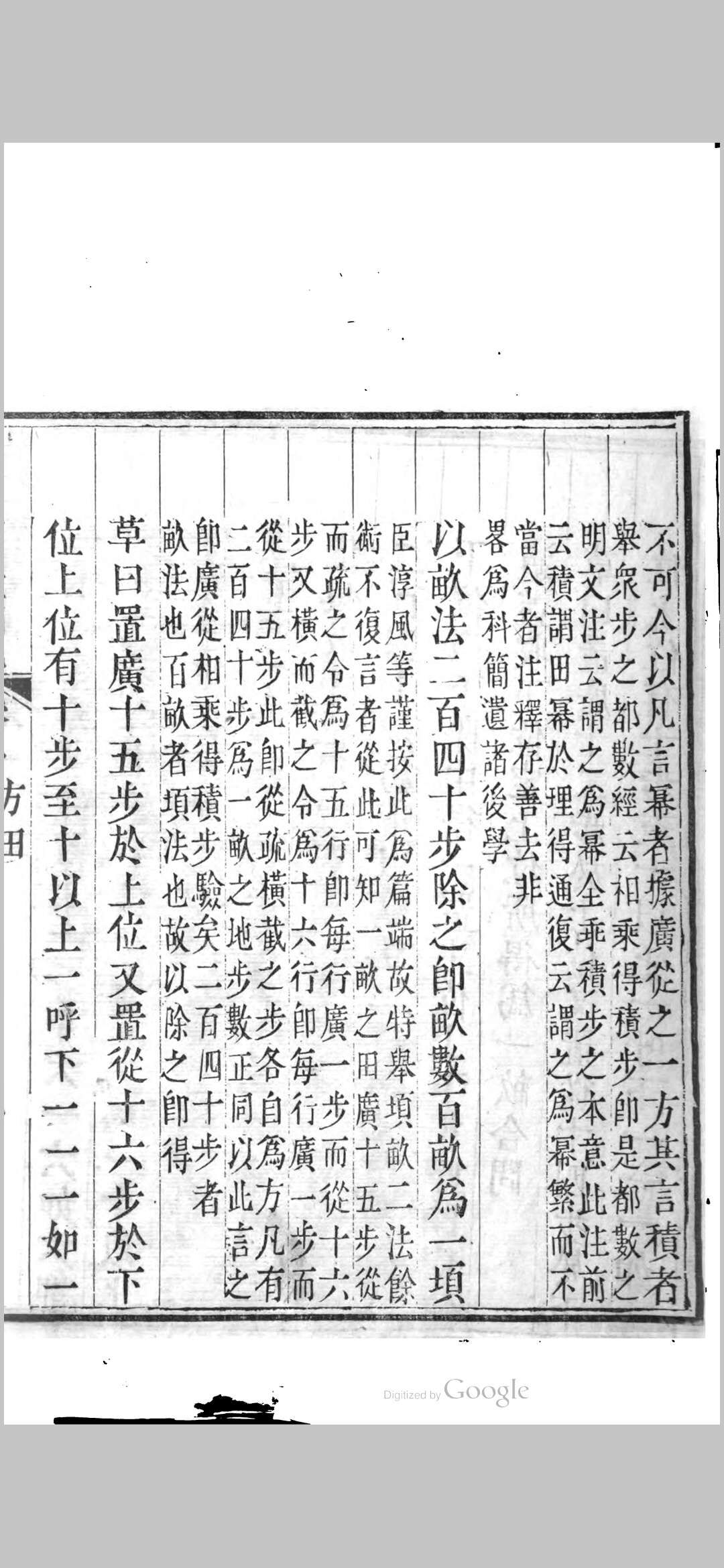
清代算书.九卷,清李演撰.该书以孔继涵刻戴震校微波榭本《算经十书》中的《九章算术》为底本,由按、草、说、图四部分内容构成.“按”主要是校勘意见,着重校勘戴震未校的部分及孔刻本中的误刻;“草”是根据《九章算术》术文及其刘徽注列出演算程序;“说”主要是对刘徽注与李淳风注中的文字逐句阐释,亦兼及校勘;“图”即根据术文和注释补的图.这些工作大都正确反映了刘徽等人深刻的数学思想,是刘徽注之后对《九章算术》最为详尽和准确的阐述,为后世学习研究《九章算术》和刘徽注的必读书籍.此书经沈钦裴校算后于1820年由语鸿堂刊行,并被多次翻刻。







服务说明:
(1)、资源来源于网络公开发表文件,所有资料仅供学习交流;
(2)、学分仅用来维持网站运营,性质为用户友情赞助,并非购买文件费用(1元=1学分);
(3)、如遇百度网盘分享链接失效,可以提交工单或者联系网站客服微信:qianmeng0663处理;
(4)、不用担心不给资料,如果没有及时回复也不用担心,看到了都会发给您的!放心!
温馨提示:部分玄学、武术、医学等资料非专业人士请勿模仿学习,仅供参考!
以上内容由网站用户发布,如有侵权,请联系我们立即删除!联系微信:qianmeng0663
(1)、资源来源于网络公开发表文件,所有资料仅供学习交流;
(2)、学分仅用来维持网站运营,性质为用户友情赞助,并非购买文件费用(1元=1学分);
(3)、如遇百度网盘分享链接失效,可以提交工单或者联系网站客服微信:qianmeng0663处理;
(4)、不用担心不给资料,如果没有及时回复也不用担心,看到了都会发给您的!放心!
温馨提示:部分玄学、武术、医学等资料非专业人士请勿模仿学习,仅供参考!
以上内容由网站用户发布,如有侵权,请联系我们立即删除!联系微信:qianmeng0663
