《太平御览》是宋代著名的类书,为北宋李昉、李穆、徐铉等学者奉敕编纂,始于太平兴国二年(977)三月,成书于太平兴国八年(983)十月。
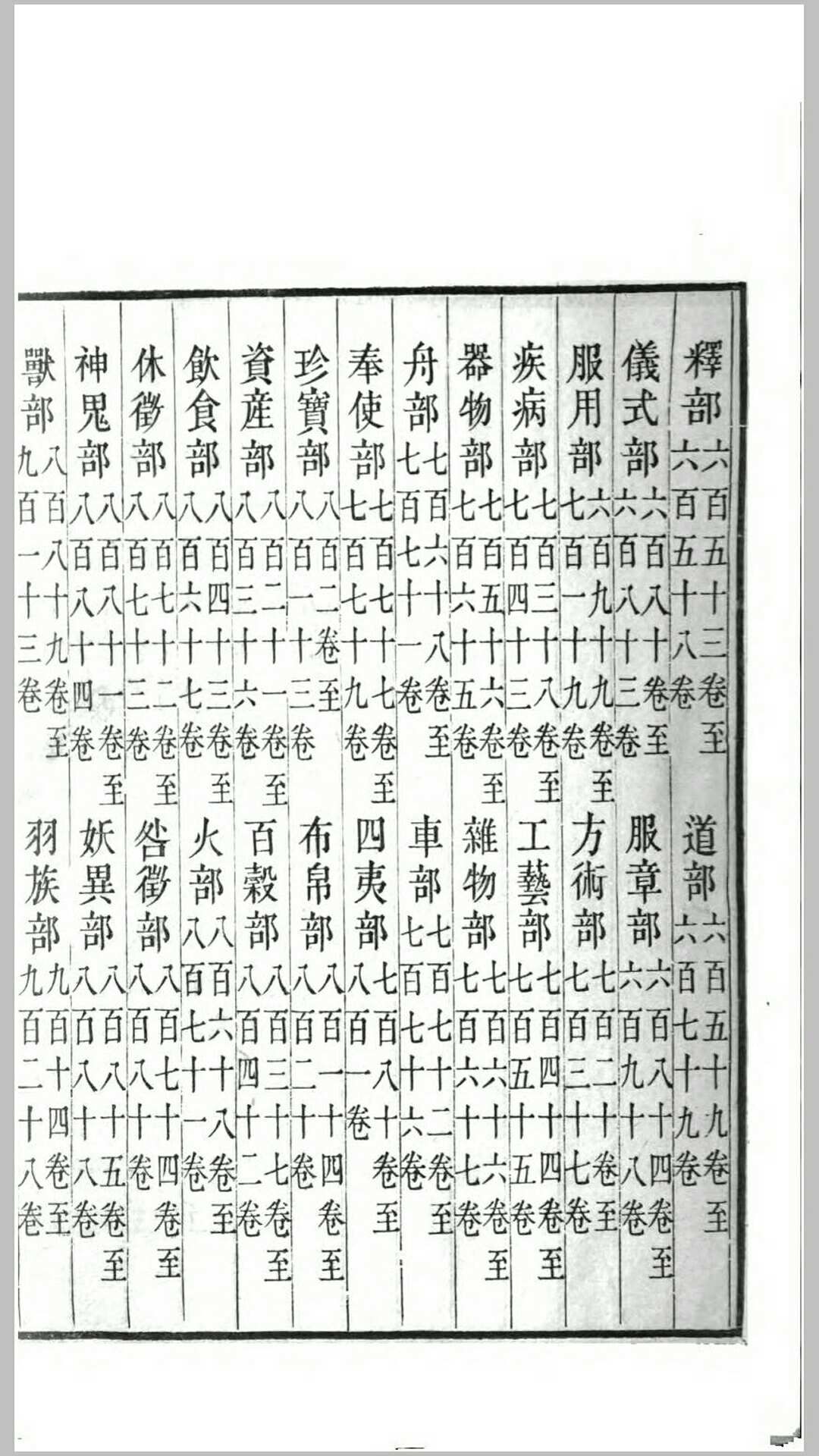
《太平御览》采以群书类集之,凡分五十五部五百五十门而编为千卷,所以初名为《太平总类》;书成之后,宋太宗日览三卷,一岁而读周,所以又更名为《太平御览》。
全书以天、地、人、事、物为序,分成五十五部,可谓包罗古今万象。书中共引用古书一千多种,保存了大量宋以前的文献资料,但其中十之七八已经亡佚,更使本书显得弥足珍贵,是中国传统文化的宝贵遗产。

服务说明:

(1)、资源来源于网络公开发表文件,所有资料仅供学习交流;
(2)、学分仅用来维持网站运营,性质为用户友情赞助,并非购买文件费用(1元=1学分);
(3)、如遇百度网盘分享链接失效,可以提交工单或者联系网站客服微信:qianmeng0663处理;
(4)、不用担心不给资料,如果没有及时回复也不用担心,看到了都会发给您的!放心!

温馨提示:部分玄学、武术、医学等资料非专业人士请勿模仿学习,仅供参考!

以上内容由网站用户发布,如有侵权,请联系我们立即删除!联系微信:qianmeng0663