术数,占卜类书籍。
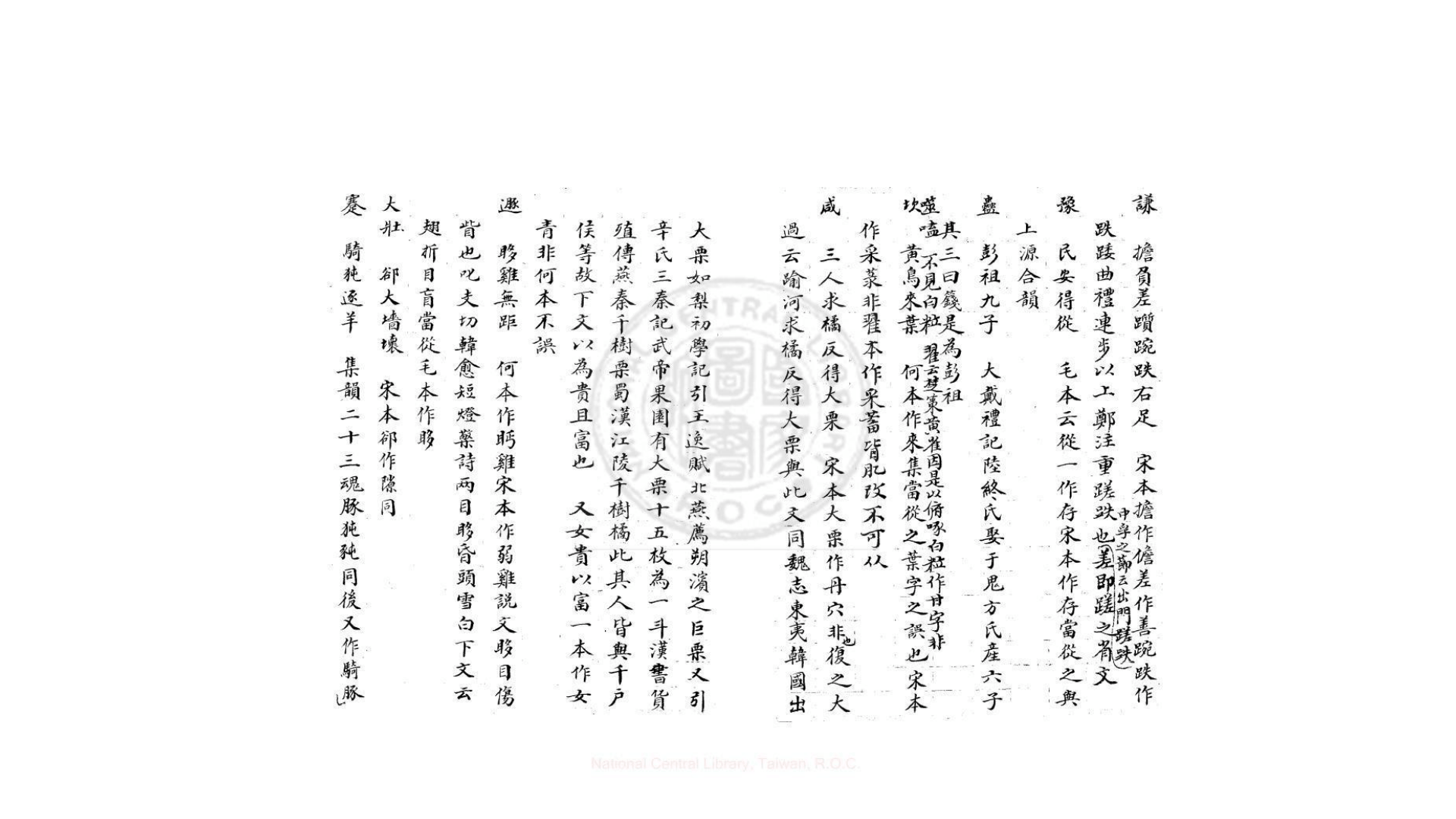
下载链接:易林释文 二卷 (清)丁晏撰 清咸丰间著者手定底稿本
丁晏(1794~1875)清代校勘学家。字俭卿,号柘堂,江苏山阳(今淮安)人。性嗜典籍,勤学不辍。阮元摄漕督,以汉易十五家发策,条对万余言。道光元年中式。兼通史事,故经世优裕。尝在籍办堤工,司赈务,修府城,浚市河,有功乡里。咸丰壬子,太平军蔓延大江南北,两江总督檄行府县兴团练,广积贮,为守御计,以先生主其事。旋为疾者所纠,议遣戍,捐缴台费获免。庚申,捻军扰淮安北关,号召练勇,分布要隘,城赖以全。随叙前绩,由侍读衔内阁中书加三品街。卒年八十有二。




服务说明:
(1)、资源来源于网络公开发表文件,所有资料仅供学习交流;
(2)、学分仅用来维持网站运营,性质为用户友情赞助,并非购买文件费用(1元=1学分);
(3)、如遇百度网盘分享链接失效,可以提交工单或者联系网站客服微信:qianmeng0663处理;
(4)、不用担心不给资料,如果没有及时回复也不用担心,看到了都会发给您的!放心!
温馨提示:部分玄学、武术、医学等资料非专业人士请勿模仿学习,仅供参考!
以上内容由网站用户发布,如有侵权,请联系我们立即删除!联系微信:qianmeng0663
(1)、资源来源于网络公开发表文件,所有资料仅供学习交流;
(2)、学分仅用来维持网站运营,性质为用户友情赞助,并非购买文件费用(1元=1学分);
(3)、如遇百度网盘分享链接失效,可以提交工单或者联系网站客服微信:qianmeng0663处理;
(4)、不用担心不给资料,如果没有及时回复也不用担心,看到了都会发给您的!放心!
温馨提示:部分玄学、武术、医学等资料非专业人士请勿模仿学习,仅供参考!
以上内容由网站用户发布,如有侵权,请联系我们立即删除!联系微信:qianmeng0663
