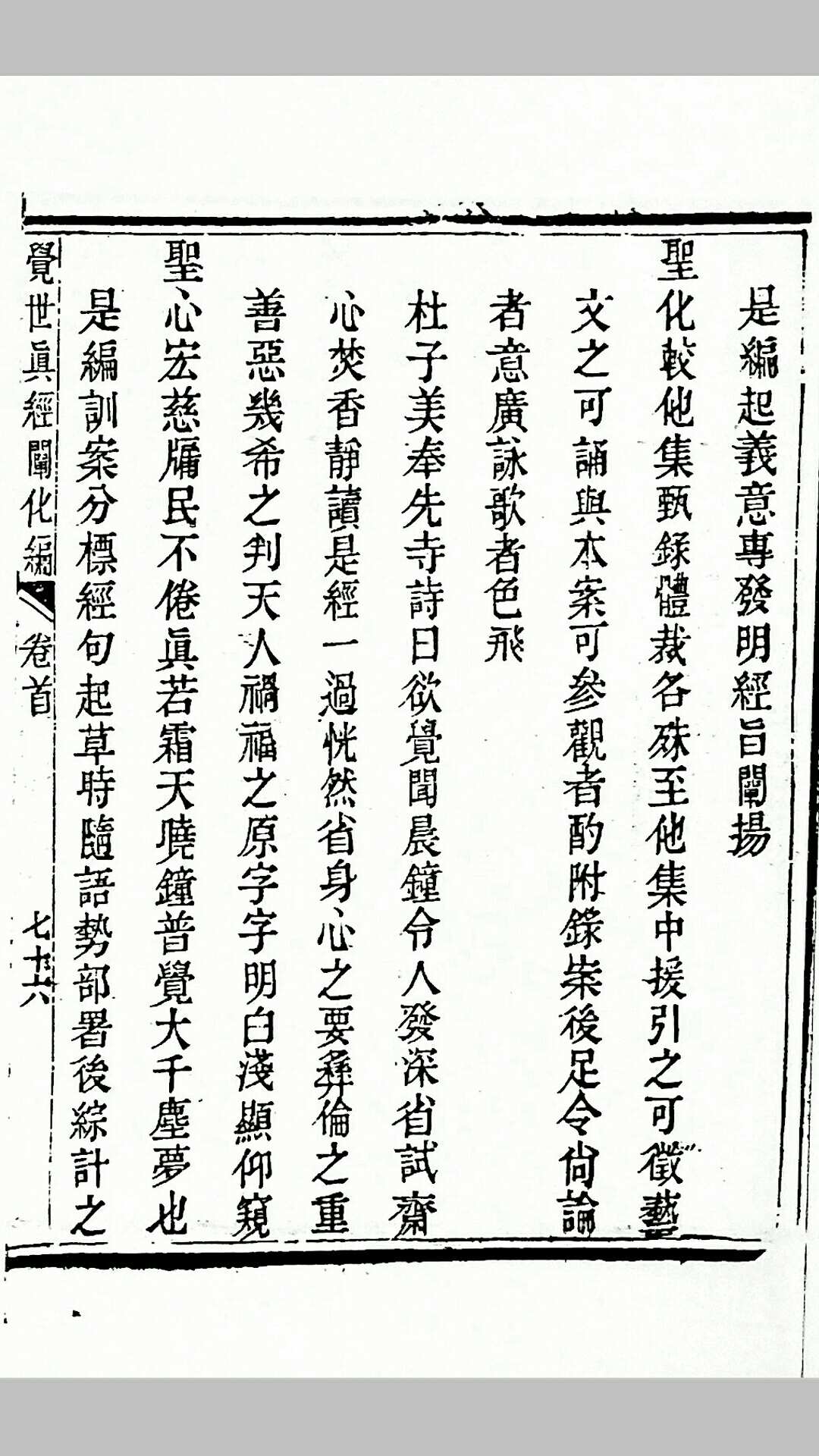
《关帝觉世真经本证训案阐化编》十六卷、首一卷,清徐谦纂辑,道光二十五年(1845)重刊本。全书八册,以“衮、钺、砰、訇、风、云、踸、踔”八字为序。书前有姚元之所作序文一篇。是书以《关圣帝君觉世真经》为纲,条分缕析,将全文析为108条,在每个条目之下,将关帝在他种文献中所作之经训引为“本训”,散见于各书的感应事迹、因果案例辑为“本案”,内容翔实,案例丰富,全书共计约三十万字。
徐谦(1776-1864),字益卿,号白舫,世称徐太史。江西广丰人。嘉庆丁卯(1807)举于乡,辛未(1811年)登进士,改庶吉士,为翰林院编修,改吏部文选清吏司主事。丁丑(1817)补考功司主事缺,充会试对读官,己卯(1819)任储济仓监督,庚辰(1820)调海运仓。为官清正廉明,深受好评。后授朝议大夫。道光甲辰(1844)因父丧,母年迈,辞官回乡,先后主讲白鹿洞、紫阳、鹅湖、丰溪诸书院。晚年更加致力于性命之学。着有《悟雪楼诗存》《孝经讲义》《灵山遗爱录》《桂宫梯》《物犹如此》《恐惧修省录》《一卷冰雪》《海南一勺》等约六十余种。
姚元之(1773-1852),字伯昂,安徽桐城人。清代官员、书画家。嘉庆十年进士,官至左都御史、内阁学士。









服务说明:
(1)、资源来源于网络公开发表文件,所有资料仅供学习交流;
(2)、学分仅用来维持网站运营,性质为用户友情赞助,并非购买文件费用(1元=1学分);
(3)、如遇百度网盘分享链接失效,可以提交工单或者联系网站客服微信:qianmeng0663处理;
(4)、不用担心不给资料,如果没有及时回复也不用担心,看到了都会发给您的!放心!
温馨提示:部分玄学、武术、医学等资料非专业人士请勿模仿学习,仅供参考!
以上内容由网站用户发布,如有侵权,请联系我们立即删除!联系微信:qianmeng0663
(1)、资源来源于网络公开发表文件,所有资料仅供学习交流;
(2)、学分仅用来维持网站运营,性质为用户友情赞助,并非购买文件费用(1元=1学分);
(3)、如遇百度网盘分享链接失效,可以提交工单或者联系网站客服微信:qianmeng0663处理;
(4)、不用担心不给资料,如果没有及时回复也不用担心,看到了都会发给您的!放心!
温馨提示:部分玄学、武术、医学等资料非专业人士请勿模仿学习,仅供参考!
以上内容由网站用户发布,如有侵权,请联系我们立即删除!联系微信:qianmeng0663
